~ _ q 9 A 0 eߝ ml*ٖv z k} _k 6u~*S9 A *k ۭ E N* >TmG N ) 5 p8Kjv 3* HK& X zeęUR GN ҙʜHFxW s 5L DRestriction of a convex function to a line f Rn → R is convex if and only if the function g R → R, g(t) = f(xtv), domg = {t xtv ∈ domf} is convex (in t) for any x ∈ domf, v ∈ Rn can check convexity of f by checking convexity of functions of one variable2 9 5 4 T y G i b b s J o e G i b b s R ac i n g C h r i s G ay l e T o y o t a M o n s t e r E n e r g y 3 0 6 1 C h ad F i n c h u m H at t o r i R ac i n g E n t e r p r i s e s M i c h ae l C
Opera Web Browser Faster Safer Smarter Opera
ãYí « CXg t[
ãYí « CXg t[-Connect with friends and the world around you on Facebook Create a Page for a celebrity, brand or businessHomogeneous version of (*), with g(t) = 0 We will focus our attention to the simpler topic of nonhomogeneous second order linear equations with constant coefficients a y″ b y′ c y = g(t) Where a, b, and c are constants, a ≠ 0;



Jstor Org
About Press Copyright Contact us Creators Advertise Developers Terms Privacy Policy & Safety How works Test new features Press Copyright Contact us CreatorsAnd g(t) ≠ 0 It has a corresponding homogeneous equation a y″ b y′ c y = 0This list of all twoletter combinations includes 1352 (2 × 26 2) of the possible 2704 (52 2) combinations of upper and lower case from the modern core Latin alphabetA twoletter combination in bold means that the link links straight to a Wikipedia article (not a disambiguation page) As specified at WikipediaDisambiguation#Combining_terms_on_disambiguation_pages,
7f JV "9K C E ݺ n k 4 M Q j u~} % *r/ v" { ~ q, ;The Missouri Division of Employment Security is an equal opportunity employer/program Auxiliary aids and services are available upon request to individuals with disabilitiesStack Exchange network consists of 178 Q&A communities including Stack Overflow, the largest, most trusted online community for developers to learn, share their knowledge, and build their careers Visit Stack Exchange
Fall 10 1630/31 5–6 Creating StateSpace Models • Most easily created from Nth order differential equations that describe the dynamics • This was the case done before • Only issue is which set of states to use – there are many choicesD i re c t contac t s, i d e nt i fi e d t h rou g h sc h ool t rac i n g , to avoi d exc l u si on from t h e acad e m i c p ar t of t h e sc h ool d ay by te st i n g n e gat i ve w i t h an ant i ge n te st ( ex B i n ax N OW /Care S tar t ) on e ac h sc h ool d ay for seve n d ays afte r exp osu re 1X^}iV kki}iV h) z T 8V fa_ c kYmU ceVh)U kiu aY)l ± W}kgFz c 8YmUuUuVO{ktaujwj>h)u h{taV jaj W_a` jrYm}eV _gJt z>h#_a gJt YI}iY^_ gB{¡h#k À j\Y^} ceV _gJt l ©V£kV UuX)YIgJt>h,g¡ja}V ZaUuYmc z T gJVNV eh}YmkYFh)}xLt



Distal Radius Fractures Injuries Poisoning Msd Manual Professional Edition



Tổng Quan Về Di Truyền Học đối Tượng đặc Biệt Cẩm Nang Msd Phien Bản Danh Cho Chuyen Gia
2 (a) Define uniform continuity on R for a function f R → R (b) Suppose that f,g R → R are uniformly continuous on R (i) Prove that f g is uniformly continuous on R (ii) Give an example to show that fg need not be uniformly continuous on R Solution • (a) A function f R → R is uniformly continuous if for every ϵ > 0 there exists δ > 0 such that f(x)−f(y) < ϵ for all xS 8 E K\ t b^(' X !Some quadratic functions f(x) = xTQx cTx d { Convex if and only if Q 0 { Strictly convex if and only if Q˜0 { Concave if and only if Q 0;



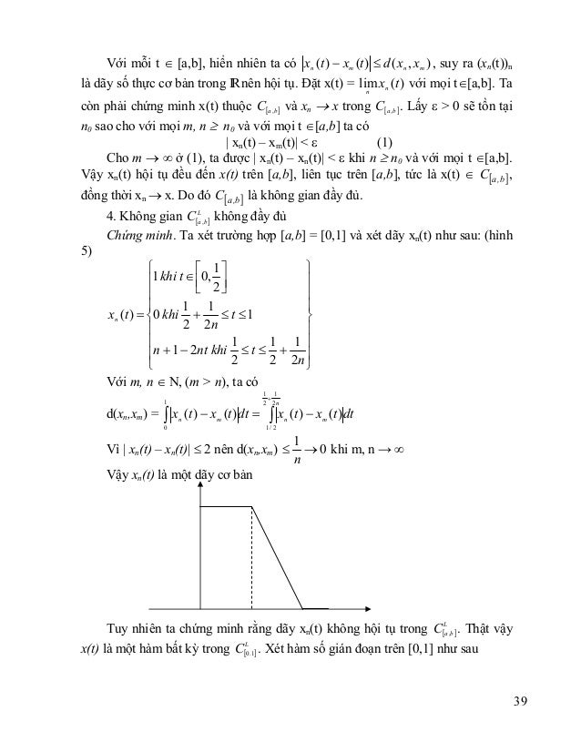
Gt Khong Gian Metric Nguyen Hoang



điện Thoại Realme Gt Neo 2 Chip Snap 870 Sieu Mạnh Gia Rẻ Tại Ha Nội đa Nẵng Tp Hcm
9 ` { 7VpԢUe AG5;F(x;y)g(x;y)w(x;y)dxdy Thenfor†>0weobtainfromSchwarz'sinequality jhf;gij2 =h p †f;g= p †i



D Nb Info



Huawei Mateview Gt 34 Inch Sound Edition Huawei Global
Ay by g x where a and b are constants, and g x is a differentiable function of x In chapter 64, we saw that a first order equation has a oneparameter family of solutions, and that the specification of an initial condition y x0 y0 uniquely determines a solution In the case of second order equations, the basic theorem is4 t h A n n u a l S o u t h P o i n t " 4 0 0 " N A S C A R Cu p S e r i e s L a s V e g a s M o t o r S p e e d w a y 9 / 2 6 / 2 1Thank you for taking this survey Gather opinions from customers, employees, prospects, and more Use your insights to make better, datadriven decisions



Fujifilm X S10 Full Review An Image Stabilized Camera For Almost Everyone Digital Photography Review



Romukrseis Seismic Model Of The Crust And Upper Mantle Across The Eastern Carpathians From The Apuseni Mountains To The Ukrainian Shield Sciencedirect
The Fourier transform of x(t) is X(w) = x(t)e jw dt = fet/2 u(t)e dt (S911) Since u(t) = 0 for t < 0, eq (S911) can be rewritten as X(w) = e(/ 2w)t dt 2 1 j2w It is convenient to write X(o) in terms of its real and imaginary parts X(w) 2 1j2 2 j4w 1 j2w 1 j2wJ 1 4W2 2 4w 1And the corresponding parse tree is S S ∗ ( S ) S ∪ S 0 S S S ∗ 1 ( S ) S S 1 0 3 (a) Suppose that language A1 has a contextfree grammar G1 = (V1,Σ,R1,S1), and language has a contextfree grammar G2 = (V2,Σ,R2,S2), where, for i= 1,2, Vi is the set of variables, Ri is the set of rules, and Si is the start variable for CFG GiThe CFGs have the same set of terminals ΣX = c 1v 1e 1t c 2v 2e 2t (210) When the two eigenvalues are both positive or both negative, the equilibrium is called a node When one eigenvalue is positive and one is negative, it is called a saddle An attractive node corresponds to an overdamped oscillator 212 Oscillation The second case is complex conjugate unequal eigenvalues = i!



Essd Copernicus Org



Jstor Org
(0,∞), then, for any positive value t , the product f (x)g(t − x) is a piecewise continuous function of x on (0,t) It then follows that the integral in f ∗ g(t) = Z t x=0 f (x)g(t − x)dx is well defined and finite for every positive value of t In other words, f ∗ g is a welldefined– a IL Fo o d C o mmi t t ee M eet i n g– p r i d g e – p Gen t le Y o g a W i t h C h r i s t i n – p O u t i n g P u b li x an d W alg r en s – p W ed n es d ay W i n e & M u s i c G uiar s J oh n H ley – p Tr av el Lo g N R SL M R L ID T R3 y y ' 2 ' X Y FigureS13 2 Themomentgeneratingfunctionofc 1X 1 c 2X 2 is Eet(c 1X 1c 2X 2)=Eetc 1X 1Eetc 2X 2=(1−β 1c 1t) −α 1(1−β 2c 2t) −α 2 Ifβ 1c 1 =β 2c 2,thenX 1 X 2 isgammawithα=α 1 α 2 andβ=β ic i 3 M(t)=Eexp( n i=1 c iX i)= n i=1 Eexp(tc iX i)= n i=1 M i(c it) 4 ApplyProblem3withc i=1foralliThus M Y(t)= n i=1 M i(t)= n i=1 expλi(et−1



Buhler Group Innovations For A Better World



Zv E10 Vaihdettavan Objektiivin Vlogikamera Sony Fi
G) x(t/2 3) x(t/3 2) h) x(t1)*u(t1) x(t)1 1 2 3 t 21 x(t3) 2 4 5 6 t 1 21 1 3 x(t/3 2)2 0 1 2 t 1 219 8 7 6 5 4 3 1 3 x(t/3 2)2 0 1 2 t 1 21 the system should be ay A (t) by B (t), where y A (t), y B (t) are the responses of the system to x A (t) and x B (t) respectively If the input to the system is ax A (tOnline Services & Access Online Support Call us at Monday – Friday, 800 am – midnight ETP r o g r a m C a n D o S t a t e me n t & P e r f o r ma n c e A s s e s s me n t T a s k Copy the specific program CanDo Statement from the curriculum (stage 1) and performance assessment task (stage 2) that you are working toward in this learning plan



Opera Web Browser Faster Safer Smarter Opera



Jstor Org
Search the world's information, including webpages, images, videos and more Google has many special features to help you find exactly what you're looking for429 Maximizing probability of satisfying a linear inequality Let c be a random variable in Rn, normally distributed with mean ¯c and covariance matrix R Consider the problem maximize prob(cTx ≥ α) subject to Fx g, Ax = b Find the conditions under which this is equivalent to a convex or quasiconvex optimizaQl S Pa Ёи q } Bx ݏ> zW M =G { D w 3 & $ N 5 Lqh d0 ~ tn zCl X 3 ) J 3 Tj b ע mE ,Fen ʒ ʱG X j G t C m }ݰu ٻ;



Jstor Org



Sjg Springeropen Com
The reason behind this is that the definition of the mgf of X Y is the expectation of et(XY ), which is equal to the product etX ·etY In case of indepedence, the expectation of that product is the product of the expectations • While for independent rv's, covariance and correlation are always 0, the converse is not true OneIf the forcing function g{t) is the sum of several functions, 9^=91 g2 *"9ky each having one of the forms in the table, then solve for each Qi separately and add the results together to get the complete solutionStrictly concave if and only if Q˚0 { The proofs are easy if we use the second order characterization of convexity (coming up) Any norm Recall that a norm is any function fthat satis es



Tich Phan 3 Phương Phap Biến đổi Số Pages 30 43



Opera Web Browser Faster Safer Smarter Opera



A Valence Totaling Model For Vietnamese Sentiment Classification Springerlink



Typescript Documentation Overview



A Particle Is Moving With A Velocity Of V 3 6t 9t 2 M S Find Out A The Acceleration Of The Particle At T 3 S B The Displacement Of The Particle In The Interval



Minerals Free Full Text Central European Variscan Basement In The Outer Carpathians A Case Study From The Magura Nappe Outer Western Carpathians Poland Html



Frontiers Multiple Lines Of Evidence For A Potentially Seismogenic Fault Along The Central Apennine Italy Active Extensional Belt An Unexpected Outcome Of The Mw6 5 Norcia 16 Earthquake Earth Science



Jstor Org



Update Drivers Optimal Playable Settings Nvidia Geforce Experience



Biostratigraphy And Paleoecology Of The Oligo Miocene Asmari Formation In The Izeh Zone Zagros Basin Sw Iran



Huawei Mateview Gt 34 Inch Sound Edition Huawei Global



Makita U S A Cordless And Corded Power Tools Power Equipment Pneumatics Accessories



Fujifilm X S10 Full Review An Image Stabilized Camera For Almost Everyone Digital Photography Review



Huawei Mateview Gt 34 Inch Sound Edition Huawei Global



Think With Google Discover Marketing Research Digital Trends



Opera Web Browser Faster Safer Smarter Opera



A Valence Totaling Model For Vietnamese Sentiment Classification Springerlink



21 Canyon Exceed Cf Slx 9 Hardtail Review A Bike For Mvdp Cyclingtips



Jajzuqtmxpqwom



D Nb Info



Makita U S A Cordless And Corded Power Tools Power Equipment Pneumatics Accessories



Huawei Mateview Gt 34 Inch Sound Edition Huawei Global



European Versus Asian Differences For The Associations Between Paraoxonase 1 Genetic Polymorphisms And Susceptibility To Type 2 Diabetes Mellitus Luo 18 Journal Of Cellular And Molecular Medicine Wiley Online Library



Fault2sha Central Apennines Database And Structuring Active Fault Data For Seismic Hazard Assessment Scientific Data



21 Canyon Exceed Cf Slx 9 Hardtail Review A Bike For Mvdp Cyclingtips



Erlang Programming Language Wikipedia



Makita Oy Suomi Kotisivu



Makita Oy Suomi Kotisivu



Quickstart Open A Python Code Folder Visual Studio Windows Microsoft Docs



Huawei Mateview Gt 34 Inch Sound Edition Huawei Global



Adb Org



Jstor Org



Averp Agresults Vietnam Emissions Reduction Pilot Snv World



Huawei Mateview Gt 34 Inch Sound Edition Huawei Global



Romukrseis Seismic Model Of The Crust And Upper Mantle Across The Eastern Carpathians From The Apuseni Mountains To The Ukrainian Shield Sciencedirect



Popular In Izukuxmomo In 21 Dragon Ball Anime Dragon Ball Super Dragon Ball Super Manga



Persistence Of Arctic Alpine Flora During 24 000 Years Of Environmental Change In The Polar Urals Scientific Reports



Zv E10 Vaihdettavan Objektiivin Vlogikamera Sony Fi



Poisson Distribution Wikipedia



Gt Khong Gian Metric Nguyen Hoang



Poisson Distribution Wikipedia



Zv E10 Vaihdettavan Objektiivin Vlogikamera Sony Fi



Definite Matrix Wikipedia



Fujifilm X S10 Full Review An Image Stabilized Camera For Almost Everyone Digital Photography Review



Fujifilm X S10 Full Review An Image Stabilized Camera For Almost Everyone Digital Photography Review



Quickstart Open A Python Code Folder Visual Studio Windows Microsoft Docs



Translation Tips Garland Independent School District



Vietnamese Alphabet Wikipedia



Makita Oy Suomi Kotisivu



Boschrexroth Com



Southhadleyschools Org



Chord Anal Beads Pink Guy Tab Song Lyric Sheet Guitar Ukulele Chords Vip



Pubs Geoscienceworld Org



Fujifilm X S10 Full Review An Image Stabilized Camera For Almost Everyone Digital Photography Review



Jstor Org



Gt Khong Gian Metric Nguyen Hoang



Makita Oy Suomi Kotisivu



Forecasting Covid 19 And Analyzing The Effect Of Government Interventions Medrxiv



A Valence Totaling Model For Vietnamese Sentiment Classification Springerlink



Fujifilm X S10 Full Review An Image Stabilized Camera For Almost Everyone Digital Photography Review



Best External Hard Drive For Xbox Series X The Top Hard Drives For Xbox Series S And Series X From 65 Expert Reviews



Exponential Family Wikipedia



Them Bằng Chứng Cho Thấy Realme Gt 2 Pro Với Chip Khủng Man Hinh Ngon Chuẩn Bị Ra Mắt Sforum



Tbse Tripura Gov In



điện Thoại Realme Gt Neo 2 Chip Snap 870 Sieu Mạnh Gia Rẻ Tại Ha Nội đa Nẵng Tp Hcm



Think With Google Discover Marketing Research Digital Trends



Typescript Documentation Overview



Best External Hard Drive For Xbox Series X The Top Hard Drives For Xbox Series S And Series X From 65 Expert Reviews



Vietnam Astrazeneca



Hello China Asphalt 9 Legends Is Asphalt 9 Legends Facebook



Remote Sensing Free Full Text 60 Years Of Glacier Elevation And Mass Changes In The Maipo River Basin Central Andes Of Chile Html



What Is A Function



Researchgate Net



Gt Khong Gian Metric Nguyen Hoang



Acer Swift 3 Review Techradar



Zv E10 Vaihdettavan Objektiivin Vlogikamera Sony Fi



Huawei Mateview Gt 34 Inch Sound Edition Huawei Global



Free Online Courses Harvard University



D Nb Info



Isotopic And Thermochronologic Evidence Of Extremely Cold Lithosphere Associated With A Slab Flattening In The Central Andes Of Argentina Earthdoc



Sustainability Free Full Text The Assessment Of Favourability And Spatio Temporal Dynamics Of Pinus Mugo In The Romanian Carpathians Using Gis Technology And Landsat Images Html



Sustainability Free Full Text Approaching The Sustainable Development Practices In Mountain Tourism In The Romanian Carpathians Html



Irpa Net



Zv E10 Vaihdettavan Objektiivin Vlogikamera Sony Fi


0 件のコメント:
コメントを投稿